校庆专题

霍金用科学公式计算英格兰队世界杯夺冠概率

2014年05月29日

北京时间5月29日消息,据国外媒体报道,经过科学公式计算,史蒂芬·霍金教授认为英格兰队需要在世界杯上采用4-3-3阵型,穿红色球衣,才能最大限度提高夺得世界杯的概率。不过,他还是表示不会在英格兰队身上下注。

作为世界知名的科学家,霍金解决了不少重大的宇宙学难题。如今,他将目光投向了一个更加“重大”的谜题——英格兰队怎样才能提高赢得世界杯的概率?霍金对一些自1966年以来,影响英格兰队世界杯表现的关键因素进行了分析,并根据目前这支球队的最佳条件列出了公式。

通过计算,霍金认为,英格兰队需要在一个较为温和的气候下进行比赛,因为如果温度增加5摄氏度,就会使夺冠的概率大幅下降59%;而如果球队在海拔500米以下的地方进行比赛,夺冠的概率将增加一倍。

如果比赛能在当地时间下午三点开始,英格兰队的获胜概率将增加三分之一;而如果他们身穿红色队服,获胜的概率将提高五分之一。据德国心理学家的研究,红色球衣能使球员感觉更加自信,面对对手时更加富有侵略性。

霍金还声称,使用4-3-3阵型比4-4-2阵型更能使英格兰队获得成功。另一方面,从英格兰到巴西的长途飞行会使球队夺冠的概率下降22%。

最后,英格兰球迷还必须寄希望于欧洲的裁判。在欧洲裁判执法的比赛中,英格兰队赢得了63%的比赛,反之则只有38%。“欧洲裁判对英国球员更加宽容,而对像苏亚雷斯这样的芭蕾舞演员(讽刺苏亚雷斯喜欢假摔)则不是那么同情,”霍金说,“与小报的消息相反,太太团的存在其实无关紧要。我们要想赢得胜利,需要取决于众多因素,包括环境、生理、心理、政治和战术等。”据悉,霍金教授的此项研究,是由博彩公司帕迪鲍尔(Paddy Power)委托进行的。

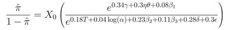
计算公式

X0是已知变量;

 

T是体育场所在城市的气温与25℃的差异;

 

α是伦敦到体育场的距离,单位为公里;

 

β1=1时,英格兰队的对手来自东欧,否则为0;

 

β2=1时,英格兰队的对手来自西欧,否则为0;

 

β3=1时,英格兰队的对手来自美洲,否则为0;

 

γ=1时,裁判来自欧洲,否则为0;

 

δ=1时,体育场的海拔大于500米,否则为0;

 

ε=1时,开球时间在当地的18:00或之后,否则为0;

 

η=1时,球队阵型为4-3-3,否则为0;

 

θ=1时,球队身穿蓝色或红色球衣,否则为0。

这位理论物理学家还计算出,英格兰队在贝洛奥里藏特面对哥斯达黎加队的时候,拥有最高的获胜概率;而在玛瑙斯对阵意大利队将是他们最大的考验。霍金还提到了英格兰队的点球机会,他说:“从科学上说,英格兰队‘用班卓琴都打不中牛屁股’(比喻球怎么踢都不进)。”

霍金还认为,速度是比赛的关键,因此球员需要三步就能启动跑起来。不过他补充道:“如果没有好的站位,速度也一无是处。要是1990年在克里斯·沃德尔将球踢飞之前,我把这一点跟他说一下就好了。”克里斯·沃德尔是前英格兰足球运动员,司职边锋,在1990年世界杯四强赛的点球大战中,作为最后一名队员上场却将球踢飞。

霍金还指出,左上角和右上角的角球会有84%的成功概率。

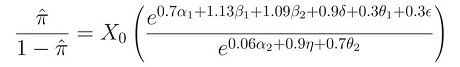
计算公式

π表示点球罚进的预期可能性,因此左边的分式表示点球进球的分数赔率。

 

X0是已知变量;

 

α1=1时,球员位置为前锋;

 

α2=1时,球员位置为后卫;

 

β1=1时,球员点球方向为左;

 

β2=1时,球员点球方向为右;

 

δ=1时,球员头发颜色偏白或淡黄色;

 

θ1=1时,球员尝试在球门范围上1/3进球;

 

θ2=1时,球员尝试在球门范围下1/3进球;

 

ε=1时,球员用脚侧面控制球的方向;

 

η=1时,球员在罚球前不进行任何助跑。

尽管作出了详尽计算,但霍金还是坦承,他不会在世界杯上进行投注,因为他更想把钱花在更加崇高、与宇宙基础状态有关的议题上。他说:“对于理论物理学,我的投注与其他理论物理学家同行和朋友有所不同。帕迪鲍尔有没有为黑洞周围是否被防火墙包围开出赔率?”

不过,这位72岁的科学家后来承认,如果真的要玩一把的话,他会把钱投在巴西队身上。“抛开所有的计算科学和理性思维,我是一个英国人,因此我会为小伙子们一路闯进里约的决赛欢呼,”他说,“但忽视巴西是不明智的。东道主赢得了超过30%的世界杯冠军,而且根据研究,他们在家门口比赛,拥有显著的环境和心理优势。”

最后霍金表示,他将把博彩公司付给他的报酬捐赠给运动神经元疾病协会和救助儿童会-叙利亚组织。(任天)

 

上一条:中央纪委监察部网站推出 “清廉过端午–纪检监察机关在行动”专题
下一条:中俄签30年天然气供应协议 2018年开始供气